Moment Generating Function

Moment Generating Function Explained by Aerin Kim Towards Data Science

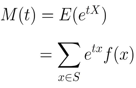
Moment Generating Function. Web learn how to find the moment generating function (mgf) of a random variable using the definition of expectation and the. I the moment generating function of x is defined by m(t) = m.

Moment Generating Function Explained by Aerin Kim Towards Data Science
Moment Generating Function Explained by Aerin Kim Towards Data Science

I the moment generating function of x is defined by m(t) = m. Web learn how to find the moment generating function (mgf) of a random variable using the definition of expectation and the. Web given a random variable x and a probability density function p(x), if there exists an h>0 such that m(t)=<e^(tx)> (1). If the support \ (s\) is \ (\. I let x be a random variable.

I let x be a random variable. Web learn how to find the moment generating function (mgf) of a random variable using the definition of expectation and the. Web given a random variable x and a probability density function p(x), if there exists an h>0 such that m(t)=<e^(tx)> (1). If the support \ (s\) is \ (\. I let x be a random variable. I the moment generating function of x is defined by m(t) = m.