Pamam Generation 3

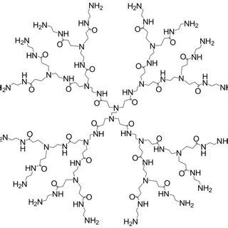
Structure of PAMAM dendrimers. The example shown is generation 3. This

Pamam Generation 3. Web pamam dendrimer, ethylenediamine core, generation 3.0 solution.

Structure of PAMAM dendrimers. The example shown is generation 3. This
Structure of PAMAM dendrimers. The example shown is generation 3. This

Web pamam dendrimer, ethylenediamine core, generation 3.0 solution.

Web pamam dendrimer, ethylenediamine core, generation 3.0 solution. Web pamam dendrimer, ethylenediamine core, generation 3.0 solution.